今回は理論編と題して、簡単な図とグラブを作成してみました
結構無理のある仮定ですので、まあこんな考え方もあるという感じで受け取っていただければと思います
間違いがありましたらお手数ですが報告お願いいたします
理屈っぽいのは嫌いだ、さっさと結論を出せという方は
下の線まで飛ばしてください
ーーーーーーーーーーーーーーーーーーーーーーーーーーーーーーーーーーーーーーーーー
まずは前提として、ボールとバットのヘコミは難しいので無しとしました
まずは最初の図を見てください
黄色の円はバットで灰色の円はボールのつもりです
Dはバットとボールの中心のズレ、つまりミスした長さを表しています
Dが大きいほどミスが大きいということになり、ジャストミートすると0になるとします
Rはバットとボールの半径の和を表しています
ボールはA球半径としました
θをDとRから三角関数で求めます
そこから二つの円の共通接線を書きます
共通接線に対して入射角と反射角が同じと仮定するとゴールは地面に対して2θで飛んで行くことになります
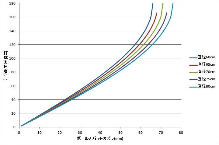
その2θを、バットの直径を60cmから80cmまで5cm刻みで大きくしていって、グラブにするとこうなりました
のようになります
打球の角度が180度とは真後ろに行くということで、つまり空振りですね
ーーーーーーーーーーーーーーーーーーーーーーーーーーーーーーーーーーーーーーーーー
このグラブから考えると、打球の角度が低くヒットになりそうな角度0〜50度まではほとんどバットの直径による差がないことがわかります
また当たり前かもしれませんが細いバットの方が少ないズレで大きく角度が変わっています
そして打球の角度が大きくなればなるほどバットによる差が大きくなっています
大雑把にまとめると
ヒットゾーン(0〜50度):影響小
アウトゾーン(50~100度):影響中
ファールゾーン(100〜180度)影響大
となります
大体100度を超えてファールになりそうな角度のゾーンはバットによる影響が強いといえます
このことから考えると、太いバットによる空振りをファールにできる効果は、細いバットのによるアウトがファールになってくれる効果よりも大きいといえます
そこで今回の結論としては、空振りをしないという自信がない限りは太いバットの方が有利であるとなります
もちろんあくまで理論上の話です
次は実践編として前々回紹介したメタルハンターとビッグ80で実際に打ってみての感想を書きたいと思います
